¿No te gusta el brócoli? Tranquilo, no eres tú, es tu genética
Artículo basado en el libro: "Plantas que nos ayudan: La ciencia detrás del conocimiento ancestral de las plantas medicinales" de Rosa Porcel.
5 min read


Si hay una constante en los gustos alimenticios, es el rechazo casi unánime a un alimento que, paradójicamente, aparece en casi todas las dietas saludables: el brócoli. Se trata de un alimento que, por lo general, es la verdura más odiada por niños y adultos. De hecho, esta mala fama tiene un carácter internacional, y una evidencia de ello la pudimos observar cuando el presidente de los Estados Unidos, George Bush padre, llegó a la Casa Blanca. Bush, cuando accedió a uno de los puestos de mayor poder del mundo, una de las primeras declaraciones que hizo fue que nunca más comería brócoli. Sin embargo, puede que este rechazo sea algo cultural. En la película de Disney-Pixar “Del revés” (Inside Out), cuando su protagonista no se adapta a su nueva vida en San Francisco aparece con una pizza de brócoli. No obstante, estas imágenes tuvieron que ser editadas en su versión japonesa, ya que para los niños del País del Sol Naciente este plato no está interiorizado como una comida poco apetecible. En la versión japonesa la pizza llevaba pimiento verde. recuerda el odio acérrimo que mostraba el pequeño Shin-chan por este vegetal en la afamada serie animada japonesa. Al fin y al cabo, las preferencias alimentarias de una población no son más que consecuencias de sus gustos y costumbres. Sin embargo, puede que este odio al brócoli no sea algo caprichoso.
Las plantas han formado parte de nuestra alimentación desde que existimos en la Tierra, pero debido a su condición de organismos sésiles (inmóviles), han tenido que desarrollar diversos mecanismos de defensa como la toxicidad. Es decir, las plantas nos alimentan, pero también suponen un peligro para nosotros. Esto es algo que evolutivamente llevamos en nuestros genes, y cuando no podemos detectar un peligro por nuestros sentidos, recurrimos a la estrategia más obvia: evitarlo. De hecho, en diversos estudios se ha comprobado que los bebés tienden a interaccionar menos con las plantas que con otros objetos o con animales. Parece que tenemos algo instintivo que nos advierte de los posibles peligros de algunas plantas, y muy probablemente debido a este instinto la especie humana siga viva a día de hoy.


Edición original (izquierda) vs Edición japonesa (derecha) en la pizza de la película "Inside out" (Fuente: Reddit)
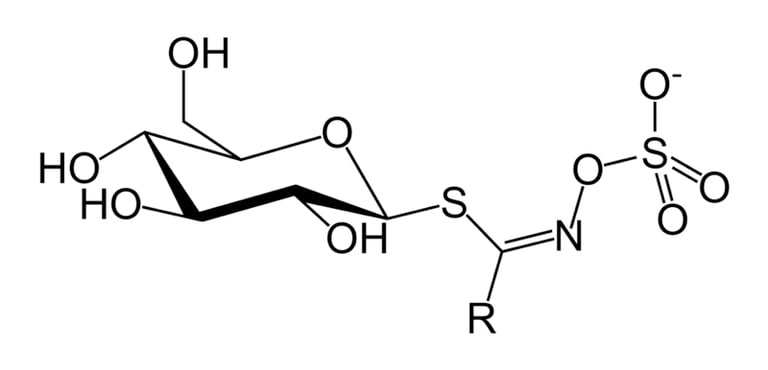
Brassica oleracea var. italica es el nombre científico del brócoli, pero si buscas imágenes de Brassica oleracea en internet, las fotografías que te arroja el buscador no representan ningún brócoli que conozcas, son coles silvestres. El término brócoli se empezó a usar en el siglo XVII en Italia, y la palabra proviene del plural italiano de "broccolo" (pella o cogollo de algunas berzas). Sin embargo, su cultivo se remonta mucho más atrás en el tiempo, probablemente en torno al año 1500 antes de nuestra era. Desde el siglo VI a. C., se han ido seleccionando variedades atendiendo al gusto y a las costumbres de cada época. Resulta muy curioso cómo a partir de una única planta (Brassica oleracea) y en función de cuál de sus partes se potenciara en la selección artificial de los agricultores, se han obtenido una gran variedad de plantas muy distintas. Aun sin saberlo, en muchas ocasiones se seleccionaban plantas con mutaciones en los genes relacionados con el desarrollo de la flor, la raíz o las hojas. Si se promocionaba el desarrollo de las hojas se obtenía kai-lan (hojas largas) o berza (hojas grandes). Cuando se favorecen los brotes de la flor, se consigue coliflor o romanesco. En el caso de las hojas terminales, repollo o lombarda. Al potenciar las yemas laterales, se cosechan coles de Bruselas. Y estimulando el crecimiento del tallo, se obtiene el colirrábano o el brócoli. Todas estas verduras que aparecen en multitud de nuestros platos, se obtuvieron a partir de una misma especie. Todas estas plantas pertenecen a la gran familia botánica de las brasicáceas o crucíferas (por la forma en cruz de sus flores), y además de las mencionadas, algunas de las plantas más famosas de esta familia son la mostaza, la colza y la muy conocida por los biólogos vegetales, Arabidopsis thaliana, el organismo modelo por excelencia en el estudio de plantas. Aunque es muy común que las plantas establezcan relaciones simbióticas con diversos hongos en sus raíces (micorrizas), en las brasicáceas no ocurre esto, ya que acumulan gran cantidad de moléculas tóxicas en sus tallos y raíces. De esta forma, cuando un herbívoro trata de alimentarse de ellas, un sabor desagradable lo repele o directamente lo mata. Este es un mecanismo de protección muy común en las plantas, pero tiene la desventaja de que impide establecer relaciones simbióticas con otras especies. Dentro del arsenal químico que disponen las plantas para protegerse, una serie de moléculas son las más interesantes para este artículo, los glucosinolatos.


Estructura general de los glucosinolatos (Fuete: Naukas)
Los glucosinolatos son moléculas derivadas de aminoácidos que contienen azufre, y son almacenadas en una estructura celular conocida como vacuola. Cuando una de las hojas del brócoli es masticada y se rompen estas vacuolas, la glucorafanina (un tipo de glucosinolato muy abundante en el brócoli) se libera y entra en contacto con una enzima llamada mirosinasa que la transforma en su forma activa y tóxica para la mayoría de los herbívoros. Estos glucosinolatos activados, son los responsables del sabor tan característico del brócoli y de las coles. Algunos lo encontramos muy desagradable, pero para otros no es una molestia, y esto tiene una explicación genética. El sabor amargo de los glucosinolatos presentes en el brócoli se detecta por un receptor codificado por el gen TAS2R38, que muestra diversas variantes en cada individuo. Este gen es responsable de que, para algunos, el brócoli tenga un sabor muy amargo e intenso, mientras que , para otros, la percepción es más suave o ni siquiera se nota. Aun así, esto no significa que el brócoli sea tóxico para los humanos, todo lo contrario, se trata de un alimento muy sano, por mucho que tu genética haga que lo detestes.
El brócoli es una verdura con mucha fibra para la salud gastrointestinal, con carotenoides como la luteína para la salud ocular, con antioxidantes, rico en calcio y contiene vitamina C, B1, B2, B6, fósforo, potasio, yodo, zinc y manganeso. Un superalimento en toda regla. Pero por si esto fuera poco, los glucosinolatos que hemos mencionado anteriormente, lejos de ser un veneno como para otros organismos, para nosotros son moléculas antioxidantes muy beneficiosas. Por lo tanto, a pesar de que tu variante del gen TAS2R38 te haga odiar el sabor del brócoli, no deberías alejarlo de tu dieta, ¡Lucha contra tu genética!
Artículo basado en:






